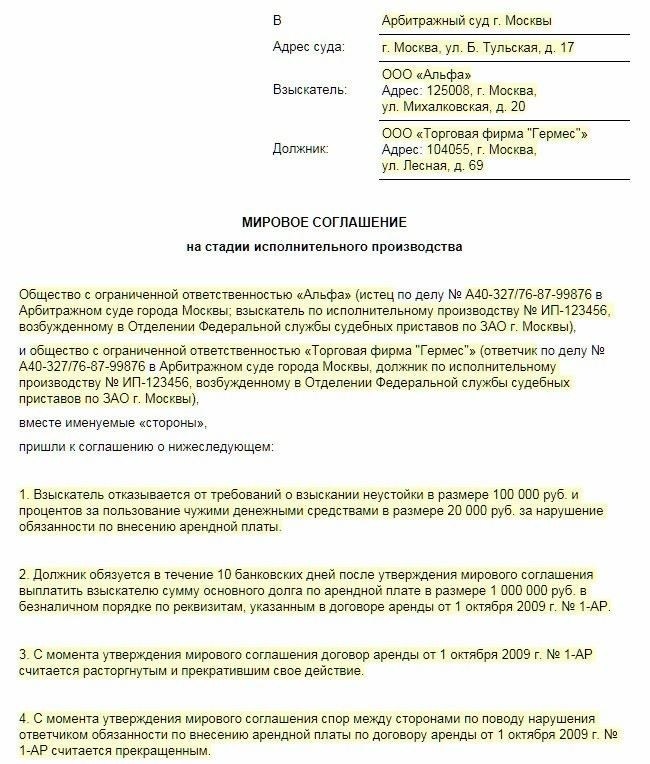
Мировое соглашение на стадии исполнительного производства: важные аспекты и рекомендации по применению ГПК

На практике, когда дело переходит на фазу исполнения судебного акта, возникают вопросы относительно того, как стороны могут договориться о мирном решении спора. Важно помнить, что даже на этапе исполнения решения суда возможно заключение мирного соглашения, которое регулирует вопросы, связанные с выполнением судебного акта. Например, если взыскатель и должник пришли к соглашению о графике выплат, его можно утвердить судом.

При обращении в суд для утверждения такого соглашения важно учесть несколько ключевых моментов. Во-первых, оно должно быть добровольным и соответствовать законодательству. Во-вторых, текст проекта документа необходимо подготовить с учетом всех требований, включая точные условия исполнения обязательств. В этом процессе могут участвовать не только стороны спора, но и представители компаний, которые помогают согласовать условия.

Одним из часто встречающихся вопросов является то, как правильно оформить заявление и какие документы должны прилагаться. По практике, достаточно предоставить проект соглашения, где четко указаны права и обязанности сторон. Судебная практика Пермского края, как и в других регионах, подтверждает, что такие акты должны быть подписаны всеми сторонами, а также могут потребовать участия прокурора в некоторых случаях. Важно помнить, что утвержденное соглашение имеет силу судебного акта, что означает его обязательность для выполнения.

Необходимо понимать, что если соглашение нарушается, то сторона, которая его не исполнила, может быть привлечена к ответственности. Взыскатель в таком случае вправе вновь обратиться в суд, чтобы добиться исполнения ранее заключенного документа. Законодательство России, в том числе Гражданский процессуальный кодекс, регулирует данный процесс, предлагая четкие пути для защиты прав сторон.

Таким образом, заключение мирного соглашения в процессе исполнения решения суда — это не только правовое, но и стратегическое решение для сторон спора. Если стороны договорились, но не могут достичь согласия по отдельным моментам, важно сразу же обратиться к юристу, чтобы избежать дальнейших проблем с исполнением судебного акта.

Порядок заключения мирного соглашения на стадии исполнительного производства в Пермском крае

Порядок заключения мирного соглашения на стадии исполнительного производства в Пермском крае

Чтобы оформить мирное урегулирование, стороны должны направить в суд проект соглашения, в котором четко прописаны все условия. Важно обратить внимание на содержание документа — он должен включать права и обязанности каждой стороны, а также сроки выполнения обязательств. Например, если взыскатель и должник договорились о рассрочке долга, это должно быть точно указано в тексте. Не забывайте, что документ должен быть подписан всеми сторонами, а в некоторых случаях может понадобиться участие прокурора.

При подготовке заявления в суд для утверждения такого документа важно учитывать несколько нюансов. Во-первых, необходимо приложить к заявлению полный пакет документов, подтверждающих наличие соглашения между сторонами. Во-вторых, нужно правильно оформить текст проекта. На практике часто бывает, что одна из сторон нарушает условия соглашения, и в таких случаях процесс может затянуться, особенно если один из участников вносит жалобу на недобросовестное исполнение. Важно помнить, что нарушение условий может привести к возврату дела в исполнительное производство.

В отношении процедурных аспектов, следует отметить, что заявление о заключении соглашения подается в тот же суд, который вынес решение по делу. В случае возникновения спорных вопросов по содержанию соглашения, суд может запросить дополнительные разъяснения от сторон. Также судья имеет право запросить уточнение условий договора, если они не соответствуют действующему законодательству или нарушают права одной из сторон.

Практика Пермского края показывает, что суды часто придерживаются стандартизированного подхода к утверждению таких документов, что облегчает процесс для сторон. Однако при подготовке нужно внимательно подходить к каждому пункту соглашения, чтобы избежать возможных недоразумений в будущем. Если стороны не могут договориться, им стоит обратиться за помощью к юристу, который поможет выработать оптимальные условия для мирного решения вопроса.

Таким образом, порядок заключения мирного урегулирования на стадии исполнительного производства — это не только юридический процесс, но и важный момент для сторон, который может помочь избежать дальнейших затрат и времени на судебные разбирательства. Внимательное и правильное оформление документа поможет обеспечить успешное завершение дела с минимальными последствиями для всех участников.

Роль суда при утверждении мирового соглашения в исполнительном производстве

Суд играет ключевую роль в утверждении мирного урегулирования спора между сторонами. После того как взыскатель и должник договорятся о путях разрешения конфликта и подготовят проект документа, его необходимо представить в суд для утверждения. Согласно статье 318 Гражданского процессуального кодекса Российской Федерации (ГПК РФ), такой акт будет иметь силу судебного решения, если он не нарушает закон и права третьих лиц.

Важно, чтобы в проекте соглашения были отражены все условия, которые стороны согласовали, включая сроки исполнения обязательств и ответственность за невыполнение условий. Примером может служить договоренность о частичных платежах по задолженности, где четко прописывается сумма, срок и порядок внесения платежей. Такие моменты должны быть включены в текст документа, а также необходимо предусмотреть механизмы контроля за исполнением.

Советуем прочитать:  Служба водителем по контракту на участие в СВО: требования, возможности и преимущества

Суд в процессе утверждения соглашения проверяет его соответствие законодательству и правам сторон. Если документ удовлетворяет всем требованиям, суд выносит решение об утверждении. Если же возникают сомнения или необходимость уточнений, суд может запросить дополнительную информацию от сторон или предложить внесение изменений в текст. В случае несогласия одной из сторон с условиями, она имеет право подать жалобу или заявить о невозможности исполнения, что может привести к возвращению дела в исполнительное производство.

Для утверждения соглашения, необходимо подать заявление в суд, к которому прикладываются следующие документы: сам текст мирного урегулирования, копии документов, подтверждающих выполнение обязательств, а также заявление о необходимости утверждения. На практике, этот процесс часто бывает простым и быстрым, но важно внимательно следить за правильностью оформления всех документов. В Пермском крае, как и в других регионах, при необходимости можно обратиться за консультацией к юристу, который поможет правильно подготовить документы и избежать ошибок в процессе утверждения.

Порядок подачи заявления в суд

Заявление о заключении мирного соглашения подается в суд, который ведет исполнительное производство. В нем необходимо указать все существенные условия соглашения и попросить суд утвердить его как обязательное для исполнения. Например, если взыскатель и должник договорились о частичных платежах, важно, чтобы суд подтвердил, что такие условия являются юридически обоснованными и не нарушают нормы законодательства.

Пример практики утверждения соглашений

В практике Пермского края суды зачастую утверждают такие соглашения, если они составлены с соблюдением всех норм. В одном из случаев суд утвердил соглашение, где должник обязался выплатить задолженность в рассрочку, что позволило избежать возврата исполнительного производства и удовлетворить требования взыскателя. Таким образом, роль суда заключается не только в проверке законности, но и в обеспечении гарантии выполнения условий для обеих сторон.

Условия, при которых может быть заключено мирное урегулирование на стадии исполнения судебного акта

Условия, при которых может быть заключено мирное урегулирование на стадии исполнения судебного акта

Для того чтобы заключить мирное урегулирование в рамках исполнения судебного решения, необходимо соблюсти несколько важных условий, которые гарантируют законность такого решения. Прежде всего, важно понимать, что этот процесс возможен только после того, как акт вступил в силу и началась его реализация в рамках исполнительного производства. Важно, чтобы стороны — как взыскатель, так и должник — выразили свое согласие на мирное урегулирование и предоставили проект документа суду для утверждения.

На практике, заключение мирного урегулирования на этом этапе возможно, если обе стороны заинтересованы в разрешении конфликта путем компромисса, а условия соглашения не противоречат законодательству. Прокурор может вмешаться в этот процесс, если он посчитает, что соглашение нарушает права других лиц или противоречит закону. Важно помнить, что такие документы должны соответствовать нормам, изложенным в Гражданском процессуальном кодексе Российской Федерации (ГПК РФ), и не нарушать обязательств сторон.

Ключевыми условиями для заключения мирного урегулирования являются:

  • Согласие обеих сторон — как должника, так и взыскателя, на заключение договора.
  • Отсутствие нарушений закона или ущемлений прав других лиц. Например, соглашение не должно быть направлено на уклонение от исполнения судебного акта.
  • Заявление в суд с приложением проекта документа. Оно должно содержать четкие условия, в том числе сроки выполнения обязательств и ответственности сторон.
  • Если сторона не может исполнить соглашение в указанный срок, это может привести к возврату дела в исполнительное производство для дальнейших действий.

После подачи заявления суд проверяет, соответствует ли документ установленным требованиям. Судебная практика Пермского края и других регионов РФ показывает, что, если соглашение составлено правильно, суды чаще всего утверждают такие документы. Однако если возникают сомнения в законности соглашения или если оно ущемляет права одной из сторон, суд может предложить внести изменения или отклонить проект.

Кроме того, если одной из сторон по какой-то причине не удается выполнить условия соглашения, взыскатель может обратиться в суд с жалобой, и это может привести к тому, что соглашение будет признано недействительным. В таком случае, решение вернется в исполнительное производство, и взыскание будет продолжено в обычном порядке.

Важно помнить, что мирное урегулирование всегда остается выбором сторон, и оно не является обязательным, если хотя бы одна сторона не согласна на заключение договора. Судебные акты, связанные с утверждением мирных решений, четко прописаны в законодательстве, и в случае возникновения вопросов или трудностей всегда можно обратиться к юристу для разъяснения деталей и подготовки необходимого пакета документов.

Права и обязанности сторон при заключении мирного урегулирования в рамках исполнительного производства

Права и обязанности сторон при заключении мирного урегулирования в рамках исполнительного производства

Заключение мирного урегулирования в процессе исполнения судебного акта требует от сторон внимательности и соблюдения ряда процедурных правил. Важно понимать, что при таком договоре как взыскатель, так и должник приобретают определенные права и обязанности, которые нужно четко учитывать на каждом этапе.

Советуем прочитать:  Указ Президента РФ от 31 декабря 2022 г. N 996: Дополнительные социальные гарантии для военнослужащих и сотрудников полиции, проходящих службу в Национальной гвардии

Согласно действующему законодательству, основным правом взыскателя является требование о возвращении долга или исполнении другого обязательства. В случае мирного урегулирования он может договориться с должником о способах и сроках выполнения обязательства. Например, можно установить рассрочку платежа или другие условия, которые удовлетворяют обе стороны. Важное преимущество для взыскателя заключается в том, что таким образом он может избежать дальнейших затруднений в исполнительном процессе и быстрее получить удовлетворение своих требований.

Для должника, в свою очередь, заключение мирного урегулирования дает возможность избежать дальнейших штрафных санкций и продолжения исполнительного производства. Он также получает возможность частичного выполнения обязательств в удобные сроки. Однако стоит помнить, что должник обязуется выполнить условия соглашения в строгие сроки, иначе последствия могут быть не только юридическими, но и финансовыми.

Права сторон и их обязательства

В соответствии с законодательством, после заключения мирного урегулирования обе стороны обязаны исполнять условия, прописанные в документе. Если одна из сторон не выполнит свои обязательства, другая сторона имеет право обратиться в суд с жалобой, чтобы возобновить исполнительное производство. Важно, что в таких случаях суд будет рассматривать все аспекты договора, чтобы подтвердить его законность.

Примером такого действия может служить ситуация, когда должник не исполнил обязательства по рассрочке платежа, указанной в соглашении. В этом случае взыскатель может подать заявление в суд, и исполнительное производство возобновится с новыми условиями.

Роль прокуратуры и суда

На всех этапах мирного урегулирования важную роль играет прокуратура. Если соглашение нарушает нормы закона или ущемляет права одной из сторон, прокурор вправе вмешаться в процесс и потребовать отмены договора. Суд, в свою очередь, проверяет содержание документа на соответствие законодательству и может отклонить соглашение, если оно нарушает права третьих лиц или не соответствует нормативным актам.

Таким образом, при заключении мирного урегулирования важно, чтобы обе стороны соблюдали требования закона, четко выполняли свои обязательства и при необходимости обращались к юристам для сопровождения процесса. Это позволит избежать возможных ошибок и ускорит процесс завершения исполнительного производства.

Влияние мирного урегулирования на дальнейшее исполнение судебного акта

Заключение мирного урегулирования существенно влияет на процесс исполнения судебного решения, поскольку после утверждения такого документа судом, исполнительное производство может быть приостановлено или полностью завершено. Это решение избавляет стороны от дальнейших действий по взысканию долга или исполнению других обязательств, указанных в судебном акте.

Когда стороны заключают такой документ, они договариваются о том, как и в какие сроки будет исполнено решение суда. Например, взыскатель может согласиться на рассрочку платежа или другие условия, которые облегчают исполнение решения для должника. Это соглашение становится обязательным после его утверждения судом, что означает, что оно имеет такую же юридическую силу, как и решение суда. Важно, чтобы стороны правильно составили документ, указав все существенные моменты, такие как сроки, суммы и возможные санкции в случае неисполнения условий.

На практике, если все условия договора выполнены должником в установленный срок, исполнительное производство будет завершено, и взыскатель уже не будет иметь право требовать исполнения решения. Однако если одна из сторон нарушает условия, например, должник не выполняет условия соглашения, взыскатель может снова обратиться в суд с заявлением, и производство возобновится. В этом случае суд будет рассматривать дело по новым обстоятельствам, и взыскание может быть продолжено в обычном порядке.

Судебная практика показывает, что влияние мирного урегулирования на исполнение акта также зависит от того, как правильно и полно составлен документ. Если соглашение не отвечает требованиям закона или ущемляет права одной из сторон, оно может быть отклонено судом, а производство будет продолжено без изменений. Кроме того, в случаях, когда соглашение содержит спорные или неполные данные, суд может потребовать дополнительную информацию или внести изменения в условия.

Примером может служить ситуация, когда взыскатель и должник заключили мирное урегулирование по погашению задолженности, но должник не выполняет свою часть обязательств в срок. В таком случае взыскатель имеет право обратиться в суд с жалобой и возобновить процесс взыскания через исполнительные органы. На этом этапе важно, чтобы в тексте соглашения были предусмотрены все возможные сценарии, включая санкции за неисполнение.

Таким образом, заключение мирного урегулирования дает сторонам возможность избежать дальнейших судебных разбирательств и ускорить процесс исполнения решения, при этом необходимо внимательно подходить к составлению и утверждению такого документа, чтобы минимизировать риски в будущем. Правильное составление и соблюдение условий соглашения являются залогом успешного завершения исполнительного производства.

Последствия нарушения условий мирного урегулирования на стадии исполнения судебного акта

Нарушение условий мирного урегулирования на стадии исполнения судебного акта может привести к серьёзным юридическим последствиям для сторон. В случае, если одна из сторон не исполнила обязательства, прописанные в документе, вторая сторона имеет право на восстановление исполнительного производства. Это означает, что все действия, направленные на удовлетворение требований взыскателя, возобновляются в полном объёме.

Советуем прочитать:  Регистрация граждан, имеющих право на бесплатное получение земли в Ленинградской области

Если должник не выполняет условия мирного урегулирования, взыскатель может обратиться в суд с заявлением о возобновлении исполнительного производства. Суд может утвердить это заявление, и с этого момента исполнительные действия будут продолжаться. Например, если соглашение предусматривало погашение долга в рассрочку, а должник не исполнил платеж в установленный срок, взыскатель имеет право требовать исполнения задолженности через судебные органы. Это подтверждается статьями Гражданского процессуального кодекса РФ (ст. 428 ГПК РФ), которые регулируют вопросы о невыполнении условий мирного соглашения.

Ключевым моментом является то, что судебное решение продолжает действовать, и в случае нарушения условий мирного урегулирования, исполнительное производство возобновляется. В некоторых случаях, если должник сознательно уклоняется от выполнения условий, ему могут быть назначены дополнительные санкции, включая штрафы или даже уголовную ответственность в случае злостного неисполнения обязательств.

Примером может быть ситуация, когда в соглашении было указано, что должник обязан выплатить задолженность в течение трех месяцев, но через месяц взыскатель обнаруживает, что должник не сделал ни одного платежа. В этом случае взыскатель может обратиться в суд, который, в свою очередь, примет решение о возобновлении исполнения судебного акта и продолжении действия исполнительного производства.

Дополнительным элементом в таких ситуациях является возможность вмешательства прокуратуры, которая может проверить законность мирного урегулирования и предложить его отмену, если оно нарушает законодательство. Прокурор может подать заявление в суд для его аннулирования или же потребовать пересмотра условий соглашения в зависимости от ситуации.

Таким образом, нарушение условий мирного урегулирования ведет к возобновлению исполнения судебного акта, что обостряет ситуацию для должника и может привести к дополнительным юридическим последствиям. Для взыскателя это означает, что исполнительное производство продолжится с возможными правовыми последствиями для должника, а также с увеличением стоимости дела за счет дополнительных расходов на судебные и исполнительные действия.

Порядок обращения в суд для утверждения мирного урегулирования на стадии исполнения судебного акта в Пермском крае

Для того чтобы утвердить мирное урегулирование на стадии исполнения судебного акта, сторонам необходимо обратиться в суд, следуя определённым процессуальным нормам. Важно, что для этого существует чётко установленные сроки и правила подачи заявления, которые следует соблюдать для обеспечения его принятия судом.

Первым шагом является подготовка проекта мирного урегулирования. Он должен быть составлен с учётом всех условий, согласованных сторонами, и включать детали, касающиеся исполнения обязательств, сроков и сумм задолженности. В проекте следует точно указать, каким образом и в какие сроки стороны планируют исполнить обязательства, и какие меры будут предприняты в случае невыполнения условий.

После подготовки документа проект необходимо подать в суд, который рассматривает исполнительное производство. Важно помнить, что обращение должно быть оформлено в соответствии с требованиями Гражданского процессуального кодекса РФ. Согласно статье 428 ГПК РФ, суд обязан утвердить проект мирного урегулирования, если он не противоречит законодательству и не нарушает права третьих лиц.

Сторонам потребуется подать заявление с запросом об утверждении проекта мирного урегулирования. В заявлении необходимо указать, что обе стороны согласны с условиями и готовы к исполнению. После подачи заявления суд проверяет его на соответствие требованиям закона, и если все условия соблюдены, выносит постановление об утверждении.

Особое внимание стоит уделить проверке правомерности условий мирного урегулирования. В случае, если одно из условий будет признано судом незаконным или ущемляющим права сторон, он может отклонить проект. Это важно учитывать, чтобы избежать задержек или отказа в утверждении. Если проект одобрен, то все последующие действия по исполнению судебного акта будут вестись в соответствии с ним.

После утверждения соглашения суд выдает соответствующий акт, который становится обязательным для исполнения. В случае нарушения условий, любая из сторон может обратиться в суд с заявлением о возобновлении исполнительного производства. Это подтверждает, что утверждение мирного урегулирования позволяет сторонам не только решить спор, но и избежать повторного обращения в суд, если соглашение будет нарушено.

Важно помнить, что для получения дополнительных разъяснений можно обратиться в судебные органы или прокуратуру, если есть сомнения по поводу правильности оформления документа или его содержания. Таким образом, соблюдение всех процедурных норм и правил подачи заявления играет ключевую роль в успешном утверждении мирного урегулирования в Пермском крае и других регионах РФ.

Понравилась статья? Поделиться с друзьями:
Adblock
detector